PDF  PubReader

Han , You , Lee , Park , Shin , and Kim: A Novel Beam Design and Performance Analysis of LEO Satellite Networks Robust to Doppler Effects

Sangmin Han♦ , Youngbin You* , Min Lee* , Hyung-Won Park* , Wonjae Shinº and Jae-Hyun Kimº

A Novel Beam Design and Performance Analysis of LEO Satellite Networks Robust to Doppler Effects

Abstract: Low Earth Orbit (LEO) satellite networks, which would be the main architecture of Non-Terrestrial Networks (NTN), need to consider the high mobility of LEO satellites. The extremely high Doppler shift caused by the mobility of LEO satellites does not occur in the existing terrestrial networks. Therefore, it is challenging to overcome the Doppler shift of LEO satellite by the terrestrial networks structure. In this paper, we propose a novel LEO satellite beam design considering Doppler shift. We calculate Doppler shift with three dimension coordinates. By doing so, we analyze the characteristics of Doppler shift caused by pre-compensation scenario where the satellite compensates for most of Doppler shift before transmitting data. Considering the results of the analyzed Doppler characteristics, altitudes of LEO satellite, and OFDM numerology technology of 5G NR (New Radio), the LEO satellite beam size can be determined differently. Since the proposed beam size design is robust to Doppler shift and applies 5G NR technology, it has advantage in implementing NR-based NTN.

Keywords: LEO satellite networks , NR-based NTN , Beam size , Doppler shift , OFDM numerology

한상민♦, 유영빈*, 이민*, 박형원*, 신원재º, 김재현º

저궤도 위성 통신망 설계를 위한 도플러 효과에 강인한 빔 크기 분석 및 설정

요 약: 차세대 통신 네트워크의 주요 기술로 평가받는 저궤도 위성 통신 시스템은 시스템 구현 시 저궤도 위성의 높은 이동성을 고려할 필요가 있다. 저궤도 위성의 이동성으로 인해 발생하는 도플러 천이는 기존의 지상 네트워크 대 비 약 50배 정도의 큰 수준이므로, 기존 지상 네트워크 구조로는 극복하기 어려운 한계점이 있다. 본 논문에서는 도플러 천이를 송신단에서 미리 보상하는 사전 보상 시나리오 적용 시 발생하는 잔여 도플러 천이의 특성을 분석 하여, 이동성에 강인한 위성 빔 크기 결정 방안을 제시한다. 저궤도 위성의 고도와 5G NR (New Radio)의 OFDM numerology 기술을 고려하여 통신 환경에 따라 위성 빔 크기를 적응적으로 결정한다. 제안하는 빔 크기 결정 방안은 저궤도 위성 통신의 도플러 천이에 강인하면서도 NR의 특성을 적용할 수 있어 NR 표준 기반 저궤 도 위성 통신 시스템 구성에 있어 장점이 있다.

키워드: LEO satellite networks , NR-based NTN , Beam size , Doppler shift , OFDM numerology

Ⅰ. 서 론

지구 어디에서나 좋은 품질의 통신 서비스 환경을 구축하기 위해 500 ~ 1,500 km 고도의 저궤도 (Low Earth Orbit, LEO) 위성을 중심으로 한 비지상 네트 워크 (Non-terrestiral Network, NTN)가 활발하게 연 구되고 있다. 저궤도 위성은 고도가 낮아 평균 지연 시간이 낮으므로 저지연 통신 성능 달성을 목표로 하 는 5G NR (New Radio) 및 차세대 통신 시스템에 적 합하다. 국제 통신 표준화를 수행하고 있는 3rd Generation Partnership Project (3GPP) 역시 비지상 네트워크의 주요 수단으로 저궤도 위성을 주목하고 있다. 3GPP는 2017년부터 NR의 NTN 적용 가능성에 대해 표준화 연구를 수행하였다. 3GPP는 TR 38.811 과 38.821을 통해 NR 표준 범위 내에서 NTN 규격을 정할 수 있음을 확인하였으며[1-4], 이를 바탕으로 NR-based NTN을 Release 17의 공식 Work Item (WI)로 선정하여 2023년 상반기까지 규격 문서에 반 영하는 것을 목표로 하고 있다. 또한, 수용 가능한 배 터리 용량, 데이터 처리 용량 등을 고려해서 이동형 단말기는 FR1 (7.125 GHz 이하 대역), 고정형 단말기 는 FR2 (24.25~ 52.6 GHz 대역)을 사용하는 시나리 오를 선택하였다. 이외에도 저궤도 위성의 빔 작동 시 나리오를 안테나의 방향이 고정되어 있는 movingbeam, 움직일 수 있는 fixed-beam 시나리오로 나누었 으며, 빔 크기를 최대 1,000 km로 제안하였다[3]. 2022 년부터 진행되는 Release 18부터는 저궤도 위성이 기 지국의 일부 혹은 전체 기능을 수행하는 regenerative mode를 고려하여 NR-based NTN을 발전시킬 예정이 다[5].

5G NR이 가지고 있는 주요 특징은 단말기 및 무선 환경의 특성에 따라 자원을 다르게 적용할 수 있는 유 연성 (flexibility)이다. 5G NR은 사용자 별로 할당된 대역폭을 변경하거나, Orthogonal Frequency Multiple Access (OFDM)의 부반송파 간격 (Subcarrier spacing, SCS)을 조절하는 기술인 OFDM numerology 등 주어진 환경에 따라 물리 자원을 유연 하게 선택할 수 있다. 이러한 NR의 특성을 활용하여, NTN 규격 역시 통신 환경에 따라 다르게 네트워크를 구현할 수 있다. 실제로 NR의 numerology 특성을 활 용하여 OFDM의 random access, timing advance를 고려한 저궤도 위성의 빔 크기를 도출하는 방법이 제 시되었다[6].

저궤도 위성은 고도 600 km 기준 약 7 km/s 이상 의 매우 높은 이동성을 가지고 있다[1]. 높은 이동성으 로 인한 저궤도 위성은 큰 도플러 천이 (Doppler shift)를 발생시킨다. 저궤도 위성 통신 네트워크에서 발생하는 도플러 천이는 지상 네트워크에서는 고려되 지 않은 값이므로, NR-based NTN 및 향후 상용화될 군집 저궤도 위성 네트워크 설계 시 반드시 고려되어 야 한다. 하지만 저궤도 위성 네트워크의 도플러 천이 에 대한 NR-based NTN 연구는 아직 활발하지 않다. OFDM 기반 저궤도 위성 네트워크에서의 도플러 천 이를 추정하는 방법을 제시하거나[7,8], 낮은 신호대잡 음비 (Signal-to-Noise Ratio, SNR) 환경에서 도플러 천이를 추정하는 방법[9] 등 저궤도 위성 네트워크에서 발생하는 도플러 천이 극복 방안들이 제시되었지만 NR-based NTN을 위한 연구 수행은 아직 미비하다.

본 논문에서는 NR의 특성을 고려하여 저궤도 위성 과 지상 단말기 간 발생하는 도플러 천이에 강인한 저 궤도 위성의 빔 크기 결정 방식을 제안한다. 저궤도 위성 통신에서 발생하는 도플러 천이는 위성 및 우주 선 등의 이동체 위치와 속도를 표현하는데 사용되는 3 차원 좌표계인 NED (North-East-Down) 좌표계를 이 용하여 계산한다. 반송파 주파수는 NR을 사용하는 이 동 단말기에 적용될 FR1 범위인 2 GHz (S band)를 사용한다. 계산된 도플러 천이를 보상하는 시나리오는 실제 저궤도 위성 통신에서 구현 가능성이 큰 도플러 천이 사전 보상 시나리오 (pre-compensation)를 적용 한다. 최종적으로는 사전 보상 시나리오 적용 시 발생 하는 결과의 특성을 분석하고, NR의 OFDM numerology 특성을 이용하여 NR-based NTN를 위한 저궤도 위성 빔 크기를 설정한다. 연구를 진행하기 위 해 지구 자전이 반영된 MATLAB Satellite Communications Toolbox를 활용하여 위성 궤도 생 성 및 도플러 천이 계산을 수행한다.

본 논문은 다음의 순서로 구성된다. 2장에서는 도 플러 천이의 특성 소개와 NED 좌표계 기반 도플러 천이 계산 방법, 위성 통신에서의 도플러 천이 보상 시나리오, OFDM의 주파수 천이 추정 원리를 소개한 다. 3장에서는 저궤도 위성 통신에서의 도플러 천이 사전 보상 시나리오의 결과를 분석한다. 4장에서는 3 장에서 분석한 내용과 OFDM 주파수 천이 추정 원리 를 결합하여 이동성에 강인한 저궤도 위성의 빔 크기 를 도출하며 5장에서 결론을 맺는다.

Ⅱ. 시스템 모델

2.1 저궤도 위성 통신에서의 도플러 효과

도플러 효과는 송수신기의 상대적인 이동성에 의해 수신되는 신호의 주파수가 변화하는 물리적인 특성을 의미한다. 송신 주파수와 도플러 효과를 겪은 수신 주 파수 사이의 차이를 도플러 천이라고 명명한다. 그림 1과 같이 지상에서 고정된 기지국에서 이동 단말기에 게 보내는 신호가 겪는 도플러 천이는 다음의 수식으 로 계산할 수 있다[1].

그림 (Fig.) 1.

무선 통신에서의 도플러 효과 (Doppler effect in wireless communications)
1.png

(1)
[TeX:] $$f_d(t)=\frac{f_0 v_0}{c} \cos (\theta(t)),$$

t는 시간, [TeX:] $$f_d(*)$$ 는 도플러 천이를, c는 빛의 속도를, [TeX:] $$v_0$$ 는 이동 단말기의 속도의 크기를 의미한다. [TeX:] $$\theta\left(^*\right)$$ 는 송신된 신호의 방향과 이동 단말기 이동 방향 사이 의 각도를 의미한다. 신호를 보내는 송신기도 이동성 을 가지고 있는 경우, 송신기와 수신기 사이의 상대속도를 활용하여 수식 (2)로 도플러 천이를 계산할 수 있다.

(2)
[TeX:] $$f_d(t)=\left(\frac{c}{c-v_r(t)}\right) f_0-f_0,$$

수식 (2)에서 [TeX:] $$v_r(*)$$ 는 송수신기 사이의 상대 속도를 의미한다. 상대 속도는 송수신기가 거리가 가까워지는 구간에서는 양의 값을, 멀어지는 구간에서는 음의 값 으로 설정한다. 수식 (2)에 의해 도플러 천이는 상대 속도의 크기가 클수록 그 크기가 증가한다. 송수신기 사이의 거리가 가까워지는 구간에서 도플러 천이 역시 양의 값을, 멀어지는 구간에서는 음의 값을 갖는다.

저궤도 위성 통신 환경에서는 지상 네트워크보다 더 많은 요소가 도플러 효과에 영향을 준다. 저궤도 위성 통신 환경에서는 저궤도 위성의 초고속 이동성 과 저궤도 위성의 고도, 궤도 경사각 (inclination), 저 궤도 위성과 지상 단말기 사이의 고도각 (elevation angle), 지구의 자전 속도 등이 도플러 효과에 영향을 미친다[10]. 논문 [10]에서는 저궤도 위성의 고도와 궤 도 경사각, 그리고 최대 고도각 (maximum elevation angle)을 변수로 설정하여 도플러 천이를 계산한다. 최대 고도각은 저궤도 위성과 지상 단말기가 형성하 는 고도각의 최댓값을 지칭하며, 그림 2와 같이 최대 고도각인 순간 상대 속도의 크기는 0이 된다. 그림 3 은 논문 [10]의 알고리즘 결과로, 고도 600 km의 저궤도 위성의 궤도를 완전한 원형으로 가정하고 최소 고도각 (minimum elevation angle)을 [TeX:] $$10^{\circ}$$ 로 설정할 때 시간과 최대 고도각에 따른 도플러 천이의 일반적 인 특성 그래프이다. x축은 시간을 나타내며, 최대 고 도각이 발생하는 시간을 0으로 설정한다. 도플러 천이 의 일반적인 특성을 분석하기 위해 도플러 천이를 반 송파 주파수로 나눈 값인 normalized Doppler shift를 y축으로 설정한다. 그림 3에서 최대 고도각이 [TeX:] $$20^{\circ}$$ 에서부터 증가할수록 최소 고도각 이상을 만족하는 시 간이 길어지므로 그래프에 표시되는 시간이 증가하고, 도플러 천이의 최댓값도 증가하는 것을 알 수 있다. 또한, 그림 3의 전체 그래프와 확대된 그래프를 통해, 빨간색 선과 검은색 선이 거의 겹치는 것을 알 수 있 다. 즉, 최대 고도각이 [TeX:] $$80^{\circ}$$이상이면 시간에 따라 변 화하는 도플러 특성이 일치하게 된다.

그림 (Fig.) 2.

최대 고도각일 때의 기하학적 특성 (Geometry characteristics at maximum elevation angle)
2.png

그림 (Fig.) 3.

최대 고도각과 시간에 따른 도플러 천이 변화 추이 [ 10] (Doppler shift according to maximum elevation angle and time [ 10])
3.png

논문 [10]의 방식 외에, 위성과 지상 단말기 사이의 상대적인 위치 및 속도를 3차원 좌표계인 지구 중심 고정 (Earth-centered earth-fixed, ECEF) 좌표계나 NED 좌표계로 표현하여 도플러 효과를 계산하는 방 법이 있다[11,12]. 그중 NED 좌표계는 ECEF 좌표계 기 반 3차원 좌표계로, 항공기나 인공위성 등 기체의 위 치나 속도를 효과적으로 표현하는 데 사용된다. 그림 4와 같이 NED 좌표계의 원점은 기체이며, x축은 지 구의 진북 (True North)을, y축은 진북 기준 동쪽을 가리킨다. z축은 지구 중심을 향한다. NED 좌표계의 x, y축이 형성하는 평면은 위성에서 지구 중심으로 향 하는 직선이 지표면과 수직으로 만나는 천저 (nadir) 에서의 지평면과 평행하게 된다. NED 좌표계를 활용 하여 위성의 속도 [TeX:] $$v_0(*)$$ 를 다음과 같이 나타낸다.

(3)
[TeX:] $$v_0(t)=\left[x_N(t), y_E(t), z_D(t)\right],$$

여기서 [TeX:] $$x_N^{(*)}$$ 은 진북을, [TeX:] $$y_E\left({ }^*\right)$$ 는 동쪽을, [TeX:] $$z_D\left(^*\right)$$ 는 지구 중심을 향하는 벡터 요소이다. NED 좌표계를 활용하여 저궤도 위성의 속도를 나타낼 경우 [TeX:] $$z_D(t)$$ 의 절댓값은 매우 작으며 속도의 대부분은 [TeX:] $$x_N\left(^*\right),$$ [TeX:] $$x_N(*), y_E\left(^*\right)$$ 의 벡터 요소로 표현된다. 저궤도 위성이 지구 를 원 궤도에 가깝게 공전하고 있고, 지구에 비해 저 궤도 위성의 크기가 상대적으로 매우 작으므로 매 순 간 저궤도 위성의 움직임은 천저에서의 지평면에 거 의 평행하게 표현된다.

속도를 활용하여 저궤도 위성과 지상 단말기 간 상 대 속도를 구하기 위해 위성을 기준으로 지상이 위치하는 방향을 결정하는 상대 위치 벡터 [TeX:] $$p_r(t)$$ 을 명명 한다.

(4)
[TeX:] $$\begin{aligned} & p_r(t)=[\cos (\theta(t)) \cos (\alpha(t)), \\ & \cos (\theta(t)) \sin (\alpha(t)),-\sin (\theta(t))], \end{aligned}$$

그림 4와 같이 [TeX:] $$\theta$$는 지상과 위성 사이의 고도각, [TeX:] $$\alpha$$는 진북 방향을 기준으로 시계 방향으로 회전하며 증가 하는 방위각 (azimuth angle)이다. 그리고 저궤도 위 성이 원 궤도에 가깝게 이동하기 위해 지구 중심으로 부터 멀어지는 속도 요소가 존재하므로 세 번째 벡터 요소에는 ‘-’ 부호가 곱해진다. 수식 (3), (4)에 대해 내적 연산을 수행하면 수식 (5)와 같이 위성과 지상 사이의 상대 속도를 구할 수 있다.

(5)
[TeX:] $$v_r(t)=v_o(t) \cdot p_r(t),$$

여기서 벡터 내적 연산이다. 수식 (5)를 이용하 여 상대 속도를 도출하면 저궤도 위성과 지상 사이의 도플러 천이는 수식 (2)를 이용하여 계산할 수 있다.

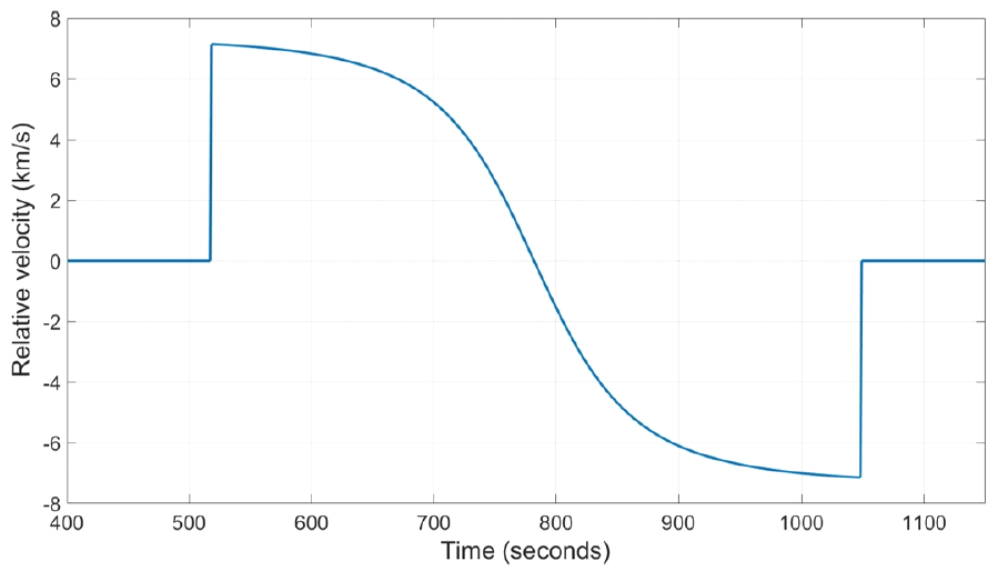
NED 좌표계를 활용하여 저궤도 위성과 지상 단말 기 사이에서 발생하는 상대 속도 및 도플러 천이를 계 산하기 위해 MATLAB Satellite Communications Toolbox를 사용한다. 이 Toolbox는 위도 별 지구 자 전 효과가 반영되어 있고 위성 궤도 시각화가 가능하 다. 저궤도 위성은 고도 600 km, 궤도 경사각은 53 로 설정하며 지상 단말기는 서울 (위도 [TeX:] $$36.86^{\circ} \mathrm{N},$$ 경도 [TeX:] $$\left.127.53^{\circ} \mathrm{E}\right)$$ 에 위치 한다. 저궤도 위성과 지상 단말 기 사이의 최대 고도각은 [TeX:] $$90^{\circ},$$ 최소 고도각은 3GPP Release 16에 명시된 대로 [TeX:] $$10^{\circ}$$ 로 설정한다[3].

MATLAB 시뮬레이션 결과 그림 5와 같이 최소 고 도각을 처음으로 만족하는 순간 7.153 km/s의 상대 속도가 측정된다. 최소 고도각을 처음으로 만족한 이 후 상대 속도 크기는 감소하며 고도각이 최대일 때 상 대 속도는 0이 된다. 이후에는 상대 속도가 음수로 표 현된다. 수식 (2)를 활용하여 도플러 천이를 구하면 그림 6과 같다. 반송파 주파수가 2 GHz일 때 도플러 천이 최댓값은 47.721 kHz의 값이 측정된다. 이 값은 3GPP release 15에서 명시된 도플러 천이 최댓값인 48 kHz에 비해 약 0.3 kHz의 차이를 보인다. 차이가 발생한 이유는 지상 단말기의 위치 (위도)와 그에 따 른 지구 자전 속도, 위성의 궤도 경사각에 따라 저궤 도 위성과 지상국 사이의 도플러 천이가 다르게 측정 되기 때문이다. 그림 6의 개형은 그림 3의 개형과 일 치하며, 그림 3과 그림 6을 통해 최대 고도각일 때 도 플러 천이는 0임을 알 수 있다. 저궤도 위성과 지상국 사이의 최대 고도각일 때의 시간을  라 할 때, 도플 러 천이는 수식 (6)의 특성을 갖는다.

그림 (Fig.) 5.

최대 고도각이 [TeX:] $$90^{\circ}$$ 일 때 고도 600 km의 저궤도 위성과 지상 단말기 사이의 상대 속도(Relative velocity between LEO satellite with 600 km altitude and ground device when maximum elevation angle is [TeX:] $$90^{\circ}$$)
5.png

그림 (Fig.) 6.

반송파 주파수가 2 GHz 일 때 도플러 천이 (Doppler shift when the carrier frequency is 2 GHz)
6.png

그림 (Fig.) 7.

반송파 주파수가 2 GHz 일 때 도플러 천이 변화량 (Doppler shift rate when the carrier frequency is 2 GHz)
7.png

(6)
[TeX:] $$f_d\left(t_0\right)=0 .$$

NED 좌표계를 활용하여 구한 도플러 천이의 변화 율은 그림 7과 같이 항상 음수이다. 그림 7의 개형을 통해 알 수 있듯이 도플러 천이가 0이 되기 전까지는 변화량의 절댓값이 증가한다. 도플러 천이가 0이 되는 [TeX:] $$t_0$$ 에서 도플러 천이 변화량의 절댓값은 최대가 되며 이후에는 변화량의 크기가 감소한다[1].. 또한 그림 5-7 을 보면 상대 속도와 도플러 천이, 도플러 천이 변화 율 모두 [TeX:] $$t_0$$ 를 기준으로 대칭적인 것을 확인할 수 있다.

2.2 도플러 효과 보상 시나리오

저궤도 위성과 지상 단말기 사이에 발생하는 도플 러 천이 보상 시나리오는 위성에서 지상으로 신호를 보내는 하향링크 기준으로 크게 2가지의 보상 시나리 오가 고려될 수 있다. 첫 번째로 그림 8과 같이 지상 단말기가 모든 도플러 천이를 보상하는 시나리오다. 이 시나리오는 저궤도 위성에서 신호를 보낸 이후 지 상의 단말기에서 도플러 천이가 보상된다는 점에서 “사후 보상 (post-compensation)”으로 정의한다[13].

사후 보상 시나리오를 구현하기 위해서는 그림 8과 같이 지상의 단말기가 중궤도에 위치한 3개 이상의 Global Navigation Satellite System (GNSS) 위성들 로부터 저궤도 위성 기준 시각 정보들과 식별 정보들, 그리고 단말기 스스로의 기준 시각 정보를 매 순간 받 아야 한다. 이때, GNSS 위성들로부터 지상 단말기에 전송되는 정보는 약 143 ms의 시간 지연 이후 수신되 므로, 신호의 정보 처리 이전에 수신 신호에 대한 시 간 동기화도 수행되어야 한다. 이후 지상 단말기는 동 기화된 정보들을 활용하여 저궤도 위성과 단말기의 위치를 계산하고, 이후 도플러 천이 계산을 수행한다. 하지만 지연 시간 동기화, 저궤도 위성과 지상 단말기 의 위치 계산, 그리고 도플러 천이 계산을 고려할 시 사후 보상 시나리오에서는 지상 단말기의 연산량이 매우 크게 증가한다. 저궤도 위성 네트워크 활성화를 위해서는 배터리가 제한적이고 연산량이 일반 전자기 기보다 적은 휴대용 단말기, 사물 IoT 등의 지상 단말 기가 저궤도 위성과 정상적으로 연결되어야 하므로, 사후 보상 시나리오는 하향링크에서의 도플러 천이 보상 시나리오에 적합하지 않다.

그림 (Fig.) 8.

사후 보상 시나리오 (Post-compensation)
8.png

사후 보상과 반대로, 저궤도 위성에서 도플러 효과 를 먼저 계산 및 보상 후 지상으로 신호를 보내는 “사전 보상 (pre-compensation)” 시나리오가 있다[14]. 사전 보상 시나리오는 지상으로 신호를 보내기 전에, 저궤도 위성이 GNSS 위성으로부터 저궤도 위성의 기 준 시각 정보와 지상의 빔 중심에 대한 기준 시각 정 보를 수신받는다. 정보 수신 이후 저궤도 위성은 빔 중심과 저궤도 위성의 위치 및 도플러 효과를 계산, 보상하여 신호를 보낸다. 저궤도 위성 네트워크에서의 사전 보상 시나리오는 안테나의 방향이 움직이는 “steerable antenna”를 사용하는 earth-fixed beam 시 나리오를 가정하며, 저궤도 위성이 빔 내의 모든 단말 기에 대한 도플러 효과를 계산하지 않아도 되므로 저 궤도 위성 시스템에서의 연산량을 줄일 수 있다.

빔의 중심과 실제 신호를 받는 단말기의 위치가 다 를 경우 그림 9와 같이 지상 단말기가 겪는 실제 도플 러 천이와 사전 보상된 도플러 천이 사이에는 차이가 존재한다. 이 차이를 “잔여 도플러 천이 (residual Doppler shift)”라고 정의하며, 단말기의 위치가 빔의 중심으로부터 멀어지면 잔여 도플러 천이 역시 증가 한다.

그림 (Fig.) 9.

사전 보상 시나리오 (Pre-compensation)
9.png

사전 보상 시 발생하는 잔여 도플러 천이는 지상 단말기에서 추가로 보상한다. 잔여 도플러 천이는 실 제 저궤도 위성과 지상 단말기 사이의 도플러 천이보 다 매우 낮은 값의 범위를 갖는다[13]. 이 특성으로 인 해 지상 단말기가 부담하는 도플러 천이의 규모 역시 현저히 감소하게 된다. 위의 장점들을 고려하면 사전 보상 시나리오는 배터리 등의 지상 단말기 시스템 구성 에서 효율적이고 구현 가능성이 큰 특성이 있다. 본 연 구에서는 도플러 천이 계산 및 보상에 있어 구현 가능 성이 큰 도플러 천이 사전 보상 시나리오를 사용한다.

2.3 CP-OFDM에서의 도플러 천이 추정 방법

3GPP 5G NR에서는 OFDM을 표준 파형으로 사 용하고 있다[1]. OFDM은 서로 직교 관계의 부반송파 (subcarrier)들을 활용하여 다중 경로 문제를 해결하는 방법으로, NR 하향링크에서는 주로 CP-OFDM이, 상 향링크에서는 CP-OFDM Access (CP-OFDMA)와 DFT-s-OFDMA가 사용된다[15]. 하향링크에서 사용되 는 CP-OFDM의 CP (Cyclic prefix)는 OFDM 신호의 뒷부분을 복사하여 신호 앞에 배치하는 것으로, 다중 경로 채널로 인한 정보 손실에 대한 대안으로 사용되 고 있다.

OFDM은 도플러 천이로 인해 발생하는 반송파 주 파수 천이 (carrier frequency offset)에 취약하다. 주파 수 천이를 극복하기 위해 CP-OFDM에서는 최대 우 도 추정 방법 (Maximum Likelihood estimation, ML estimation)을 사용한다[16]. 그림 10과 같이 하나의 완전한 OFDM symbol은 (N+L)의 샘플링 (sampling) 된 신호로 구성되어 있다. N은 OFDM 신호, L은 CP 의 길이이다. 수신된 OFDM symbol은 불확실한 시간 지연 [TeX:] $$\delta,$$, 주파수 천이를 부반송파 간격으로 나눈 을 포함하고 있다. [TeX:] $$\delta \text { 와 } \epsilon \text {, }$$ AWGN (Additive White Gaussian Noise)를 겪은 수신 신호 [TeX:] $$r(k)$$는 수식 (7) 과 같다.

그림 (Fig.) 10.

CP를 포함한 송신 OFDM symbol의 구성 (OFDM symbol structure with CP)
10.png

(7)
[TeX:] $$r(k)=s(k-\delta) e^{j 2 \pi \epsilon k / N}+n(k),$$

수식 (7)에서 는 샘플링된 신호의 index이며, s(k) 는 송신 신호, n(k)는 AWGN이다. 그림 10과 같이 CP는 OFDM 신호의 뒷부분 CP’을 복사한 부분이므 로, CP와 CP’ 사이에는 상관 관계 (correlated)인 반 면, CP와 나머지 신호들은 서로 상관없는 (mutually uncorrelated) 특성이 있다. 논문 [16]에서 최대 우도 추정 방법은 이 특성을 활용하여 log-likelihood 함수 형태로 수식 (8)을 정의한다.

(8)
[TeX:] $$\begin{aligned} & \Lambda(\delta, \epsilon)=\log f(r, \delta \mid \epsilon)= \\ & |\gamma(\delta)| \cos (2 \pi \epsilon+\angle \gamma(\delta))-\rho \Phi(\delta), \end{aligned}$$

수식 (8)에서 [TeX:] $$\gamma(m), \Phi(m), \rho$$ 는 다음과 같다.

(9)
[TeX:] $$\gamma(m)=\sum_{k=m}^{m+L-1} r(k) r^*(k+N),$$

(10)
[TeX:] $$\Phi(m)=\frac{1}{2} \sum_{k=m}^{m+L-1}|r(k)|^2+|r(k+N)|^2,$$

(11)
[TeX:] $$\rho=\frac{S N R}{S N R+1}.$$

수식 (8)의 최대 우도 추정 함수는 다음 2단계를 거쳐 최댓값을 계산한다.

(12)
[TeX:] $$\begin{aligned} & \max _{(\delta, \epsilon)} \Lambda(\delta, \epsilon) \\ & =\max _\delta \max _\epsilon \Lambda(\delta, \epsilon) \\ & =\max \Lambda\left(\delta, \hat{\epsilon}_{M L}(\delta)\right), \end{aligned}$$

수식 (8)에서 코사인 함수가 포함되어 있으므로, 추정 되는 [TeX:] $$\hat{\epsilon}_{M L}$$은 수식 (13)를 만족한다

(13)
[TeX:] $$\hat{\epsilon}_{M L}(\delta)=-\frac{1}{2 \pi} \angle \gamma(\delta)+n \text {, }$$

여기서 n은 정수이며, 코사인 함수는 주기 함수이 므로 수식 (13)를 만족하는 값은 여러 개가 있다. [TeX:] $$\epsilon$$ 은 주파수 천이를 부반송파 간격으로 나눈 값이므로, [TeX:] $$n=0 \text { 인 경우 }|\hat{\epsilon}|<1 / 2$$ 를 만족하며 수식 (13) 는 단 하나의 값으로 도출된다. 따라서 특정한 부반송 파로부터 주파수 천이가 발생한 것을 알 수 있다.

위의 수식들을 활용하여 와 를 최대 우도 추정하면 다음과 같은 결과가 도출된다.

(14)
[TeX:] $$\hat{\delta}_{M L}=\arg \max _\delta|r(\delta)|-\rho \Phi(\delta),$$

(15)
[TeX:] $$\hat{\epsilon}_{M L}=-\frac{1}{2 \pi} \angle\left(\gamma\left(\hat{\theta}_{M L}\right)\right) \text {. }$$

OFDM 수신기에서는 최대 우도 추정 방법을 활용하 여 수식 (14), (15)로부터 정확한 시간 지연과 주파수 천이를 추정 및 보상하여 전송 신호를 복원할 수 있 다.

Ⅲ. 사전 보상 기반 잔여 도플러 천이 특성 분석

3.1 궤도 요소 기반 위성 궤도 생성

위성 통신 네트워크 환경을 구축하기 위해 Simplified General Perturbations-4 (SGP4) propagator 알고리즘을 사용한다. 위성의 궤도를 생성 하기 위한 필수 궤도 요소 (orbital element)에는 궤도 평면 (orbital plane)을 결정하는 긴 반지름 (semi-major axis), 이심률 (eccentricity), 외에 그림 11과 같이 궤도 경사각 [TeX:] $$\left(i_0\right),$$ 상승 교점 경도 (right ascension of the ascending node, [TeX:] $$\left.\Omega_0\right),$$ 근일점 편각 (argument of perigee, [TeX:] $$\omega)$$ 과 궤도 평면에서 위성의 위 치를 결정하는 평균 근점 이각 (mean anomaly), 그리 고 기준 시간 (epoch)이 있다[3]. 위의 변수들을 설정 하여 SPG4 propagator 알고리즘을 사용하면 위성의 궤도를 생성할 수 있다.

표 1은 본 논문에서 사용된 궤도 요소이다. 궤도 생 성 시작 기준은 2022년 7월 13일 12시이다. 긴 반지름은 중위도를 고려한 지구 반지름 (6,376km)과 저 궤도 위성 고도 (600 km)의 합으로 설정하며, 이심률 은 대부분의 저궤도 위성이 원형에 가까운 궤도로 공 전하는 것을 고려하여 0.0001로 설정한다. 궤도 경사 각은 중위도 지역 위성 통신 서비스에 적합한 [TeX:] $$53^{\circ}$$ 로 설정하고, 빔의 중심을 국내에 (위도 [TeX:] $$36^{\circ}$$ 51‘ 36’‘, 경 도 [TeX:] $$127^{\circ}$$ 31’ 48‘’)에 배치될 때 저궤도 위성이 빔 중 심의 천정 (zenith)를 지나도록 상승 교점 경도를 [TeX:] $$208^{\circ}$$로 설정한다. 생성 결과 그림 12과 같이 정상적으로 저궤도 위성의 궤도를 생성할 수 있다. 그림 12에서 주황색은 위성이 지나간 궤도, 자주색은 미래의 궤도 이다.

그림 (Fig.) 11.

위성의 궤도를 결정하는 궤도 요소들[ 3] (Orbital elements used in satellite orbit[ 3])
11.png

표 (Table.) 1.

Epoch (2022.07.13. 12시) 기준으로 생성된 저궤도 위 성의 궤도 요소 (LEO satellite’s orbital elements with time 12 PM, 13, July, 2022)
변수
긴 반지름 6,976 km
이심률 0.0001
궤도 경사각 [TeX:] $$53^{\circ}$$
상승 교점 경도 [TeX:] $$208^{\circ}$$
근점 편각 0
진근점 이각 0

그림 (Fig.) 12.

SGP4 알고리즘과 궤도 요소를 활용하여 생성한 위성과 궤도 (Satellite orbit using SGP4 algorithm and orbital elements)
12.png
3.2 잔여 도플러 천이 계산 및 특성 분석

도플러 천이 사전 보상 시나리오는 저궤도 위성이 대부분의 도플러 천이를 계산 및 보상하는 주체이므 로, 본 연구에서는 NED 좌표계를 사용하여 도플러 천이를 계산한다. 사전 보상 시나리오를 적용할 시 잔 여 도플러 천이의 특성에 대한 분석이 필요하다. 잔여 도플러를 측정하기 위해 가상의 빔 가장자리 지점을 설정한다. 그림 13과 같이 빔 중심 기준 북쪽으로부터 [TeX:] $$45^{\circ}$$ 씩 시계 방향으로 회전 (bearing)하여 총 8곳의 빔 가장자리를 빔 중심으로부터 20 km 떨어뜨려 위치 시킨다. 저궤도 위성의 궤도는 그림 13과 같이 자주색 선으로 표현한다.

그림 (Fig.) 13.

위성의 궤도와 빔 증심, 빔 가장자리 설정 (Satellite orbit, beam center, and beam edges)
13.png

그림 (Fig.) 14.

빔 중심과 빔 가장자리에서 측정되는 상대 속도 (Relative velocity measured from the beam center and edges)
14.png

그림 14는 빔 중심과 빔 가장자리 지점들에서 측정 된 상대 속도이다. 저궤도 위성이 한반도 주변에서 이 동하는 동안 위성의 이동 방향은 그림 13과 같이 북쪽 으로부터 시계 방향으로 약 [TeX:] $$45^{\circ}$$ 회전한 방향이다. 그 림 13에 표시한 edge4, 8은 위성의 이동 방향에 대해 빔 중심으로부터 수직 방향에 위치하므로, 상대 속도 가 가장 작은 값을 갖는 빔 가장자리의 [TeX:] $$t_0$$ 은 빔 중심 의 [TeX:] $$t_0$$ 와 약 0.1 초 차이가 난다. 반대로 edge2, 6과 같 이 빔 중심으로부터 빔 가장자리 지점들까지의 방향 이 위성의 이동 방향과 수평에 위치할수록 빔 가장자리의 [TeX:] $$t_0$$ 과 빔 중심의 [TeX:] $$t_0$$시간 차이는 증가한다. 따라 서, 빔의 가장자리 지점이 위성의 이동 방향에 대해 과 차이가 매우 작으며, 반대로 위성의 이동 방향에 대해 수평에 위치할수록 빔 중심과의 상대 속도 차이 는 증가한다.

그림 (Fig.) 15.

빔 가장자리 별 잔여 도플러 천이 (Residual Doppler shift from the beam edges)
15.png

측정된 상대 속도를 기반으로 빔 중심과 빔 가장자 리 지점들의 도플러 천이 계산 결과를 이용하여 잔여 도플러 천이를 계산한다. 빔 중심과 빔 가장자리 사이 의 잔여 도플러 천이는 수식 (16)으로 계산한다.

(16)
[TeX:] $$f_{\text {res. }}(t)=f_{\text {d.edge }}(t)-f_{\text {d,center }}(t) \text {, }$$

수식 (16)은 수식 (2)를 기반으로 한다. [TeX:] $$f_d, e d g e$$ 는 빔 가장자리에서의 도플러 천이, [TeX:] $$f_{d, \text { center }}$$ 는 빔 중심 에서의 도플러 천이를 의미하여, [TeX:] $$f_{\text {res. }} \text {. }$$ 는 잔여 도플 러 천이를 의미한다. 그림 15는 수식 (16)의 결과 그 래프이다. 그림 15와 같이 시간이 빔 중심의 [TeX:] $$t_0$$ 에서부 터 멀어질수록 빔 중심과 빔 가장자리 지점들의 상대 속도 차이는 없어지므로 잔여 도플러 천이는 감소한 다. 반대로 [TeX:] $$t_0 \text { 및 } t_0$$ 주변에서는 상대 속도 차이가 증 가하고, 특히 빔 가장자리의 위치가 edge2, 6인 지점 에 가까워질수록 잔여 도플러 천이는 증가한다

빔 가장자리 별 잔여 도플러 천이의 최댓값을 도출 하면 빔 중심에 대한 [TeX:] $$t_0$$ 일 때 최대가 된다. 이는 그림 7에서 확인한 도플러 천이의 변화량과 관계가 있다. 저궤도 위성 통신에서의 도플러 천이는 항상 [TeX:] $$t_0$$ 일 때 0이 되고 변화량의 크기는 최대가 된다. Edge 2의 경 우, 빔 중심에 대한 [TeX:] $$t_0$$ 보다 시간이 앞설 때는 빔 가장자리보다 빔 중심에 대한 도플러 천이 변화량이 크므 로 잔여 도플러 천이는 증가한다. 빔 중심의 [TeX:] $$t_0$$ 일 때 빔 중심에 대한 도플러 천이 변화량의 크기는 가장 높 지만, 빔 가장자리에서는 도플러 천이의 변화량의 크기가 가장 높지 않고 여전히 증가하고 있으므로 잔여 도플러 천이는 최대가 된다. 그리고 [TeX:] $$t_0$$ 이후에는 빔 중심에 대한 도플러 천이 변화량의 크기는 감소하므 로 잔여 도플러 천이는 감소한다. Edge 6의 경우 반대 현상이 일어나 잔여 도플러 천이 값이 음수가 된다.

그림 (Fig.) 16.

빔 중심으로부터 edge2 방향으로의 거리에 따른 상대 속도 특성 (Relative velocity characteristics as the distance from the beam center to edge2 increases)
16.png

다음으로 빔 중심으로부터 같은 거리에 위치한 빔 가장자리 지점들 중 잔여 도플러 천이가 가장 큰 방향 을 기준으로, 빔 중심으로부터의 거리가 잔여 도플러 천이에 미치는 영향을 확인해본다. Edge2, 6 중 edge2 방향으로 빔 가장자리들을 설계한다. 빔 중심으로부터 의 거리는 5km에서부터 100km까지 증가시켜 20개의 빔 가장자리들을 위치시킨다. 각 지점들에 대해 최대 고도각을 만족하는 시간은 다음과 같이 표기한다.

(17)
[TeX:] $$t_{\theta_{\max }}=t_0^x, x \in\{c, e d 1, e d 2, \ldots, e d 20\},$$

여기서 c는 빔 중심, [TeX:] $$e d_1 \text { 부터 } e d_{20}$$ 까지는 거리에 따른 빔 가장자리들을 의미한다. 그림 16은 빔 중심과 같은 방향의 빔 가장자리 사이의 거리에 따른 상대 속 도 그래프이다. 빔 중심에 대한 [TeX:] $$t_0 \text { 인 } t_0^c$$ 전후를 상세 히 보면 빔 가장자리들에서의 상대 속도 개형은 빔 중 심의 상대 속도 그래프를 평행이동한 형태를 보이며, 거리가 증가 할수록 평행이동의 정도 역시 증가한다. 이를 분석하기 위해 NED 좌표계를 활용한 수식 (5) 를 전개하면 다음과 같다.

(18)
[TeX:] $$\begin{aligned} & v_r(t)=\left[-z_D(t)\right] \sin (\theta(t))+ \\ & {\left[x_N(t) \cos (\alpha(t))+y_E(t) \sin (\alpha(t))\right] \cos (\theta(t))} \end{aligned}$$

여기서 [TeX:] $$x_N(t) \cos (\alpha(t))+y_E(t) \sin (\alpha(t)) \text { 을 } T(t)$$라 고 명명할 때, 수식 (18)은 다음과 같이 정리할 수 있 다.

(19)
[TeX:] $$\begin{aligned} & v_r(t)=\sqrt{z_D(t)^2+T(t)^2} \\ & \times\left(\begin{array}{c} \left.\frac{-z_D(t)}{\sqrt{z_D(t)^2+T(t)^2}} \sin (\theta(t))+\right) \\ \frac{T(t)}{\sqrt{z_D(t)^2+T(t)^2}} \cos (\theta(t)) \end{array}\right) \end{aligned}$$

수식 (19)에서 [TeX:] $$T(t) \text { 와 }-z_D(t)$$에 대해 다음의 관 계식을 정의한다.

(20)
[TeX:] $$\tan ^{-1}\left(\frac{T(t)}{-z_D(t)}\right)=\beta(t) \quad[\mathrm{rad}].$$

삼각함수 합성에 의해 수식 (19)는 다음과 같이 정리된다.

(21)
[TeX:] $$v_r(t)=\sqrt{z_D(t)^2+T(t)^2} \sin (\theta(t)+\beta(t)) .$$

저궤도 위성의 공전은 원운동에 근사하므로 수식 (22) 의 관계식이 성립한다

(22)
[TeX:] $$T(t) \gg\left|z_D(t)\right|.$$

수식 (20)과 수식 (22)를 고려하면 수식 (23)의 관계 식을 도출할 수 있고, 최종적으로 수식 (24)의 특성을 만족한다.

(23)
[TeX:] $$\beta(t) \approx \pi / 2 \text { or } 3 \pi / 2$$

(24)
[TeX:] $$v_r(t) \fallingdotseq \pm \sqrt{z_D(t)^2+T(t)^2} \cos (\theta(t)),$$

수식 (24)에 의해 저궤도 위성과 빔 중심, 빔 가장자리 들에 대한 상대 속도는 고도각에 대한 간단한 삼각함 수로 표현될 수 있다.

그림 16에서 빔 중심으로부터 같은 방향의 빔 가장 자리들을 설정하였으므로 [TeX:] $$t_0^c$$ 전에는 방위각 [TeX:] $$\alpha$$ 가 약 [TeX:] $$45^{\circ}$$ 로 일정하다. 또한, 저궤도 위성의 이동 방향 역 시 진북 기준 [TeX:] $$45^{\circ}$$ 로 일정하여 [TeX:] $$x_N(t), y_D(t)$$ 의 크기 가 거의 일정하므로 수식 (22)에서 [TeX:] $$\beta(t) \text { 는 } \pi / 2 s$$ 의 값 이 된다. [TeX:] $$t_0^c$$ 이후에는 방위각이 약 [TeX:] $$225^{\circ}$$ 로 일정하여 수식 (23)에서 [TeX:] $$\beta(t) \text { 는 } 3 \pi / 2$$ 가 되어 수식 (24)의 값이 음수가 된다. 또한, 시간이 [TeX:] $$t_0^c$$ 에 가까울 때 빔 중심과 빔 가장자리들의 최대 고도각이 [TeX:] $$90^{\circ}$$에 근접하게 설 정되므로 상대 속도의 특성은 동일하다. 따라서 빔 중심과 빔 가장자리들의 상대 속도 개형은 일치하며, 빔 중심과 가장자리 사이의 거리에 비례하여 평행이동한 삼각함수 개형을 갖게 된다. 상대 속도의 특성을 고려 하면 수식 (2)에 의해 빔 중심과 빔 가장자리 별 도플 러 천이 개형 역시 일치하고 거리에 비례하여 평행이 동한다.

그림 (Fig.) 17.

빔 중심으로부터 edge 2 방향으로 빔 중심과 가 장자리 사이의 거리가 증가할 때 잔여 도플러 천이 (Residual Doppler shift characteristics as the distance from the beam center to edge2 increases)
17.png

그림 (Fig.) 18.

[TeX:] $$t_0^c$$일 때, 거리에 따른 잔여 도플러 천이 최댓값과 선형 회귀 결과, 결정 계수 (At time [TeX:] $$t_0^c,$$ maximum residual Doppler shift over the distance, the linear regression result, and R-squared)
18.png

그러므로 그림 17과 같이 빔 중심과 빔 가장자리 사이의 거리가 증가할수록 잔여 도플러 천이 역시 증 가하며, 거리에 상관없이 [TeX:] $$t_0^c$$일 때 잔여 도플러 천이는 최대가 된다. 결과적으로 잔여 도플러 천이 최댓값은 빔 중심과 빔 가장자리 사이의 거리에 선형적으로 비 례하여 증가하는 것을 알 수 있다.

잔여 도플러 천이 최댓값과 빔 중심과 가장자리 사 이의 거리가 선형적으로 비례하다는 것을 재확인하기 위해 edge2 방향으로 거리를 5 km씩 증가시켜 그림 16과 같이 잔여 도플러 천이 최댓값을 확인하고, 선형 회귀 (linear regression)를 수행한다. 선형 회귀는 두 변수 사이의 관계를 파악하는데 사용하는 통계 모델 이다. 선형 회귀 모델에서 사용되는 값 중, 두 변수 사 이의 선형성을 나타내는 지표인 결정 계수(R-squared) 가 1에 가까울수록 두 변수는 선형 관계에 가까워진 다. 선형 회귀 분석 결과 그림 18과 같이 거리에 따른 잔여 도플러 천이 최댓값은 결정 계수가 0.9999로 도 출된다. 그러므로 빔 중심으로부터의 거리와 잔여 도 플러 천이 최댓값은 선형 관계라고 판단할 수 있다. 특히 그림 18에서 잔여 도플러 천이 값의 선형 회귀 결과, 기울기는 0.0874이다. 이를 통해 고도 600 km, 궤도 경사각이 [TeX:] $$53^{\circ}$$ 일 때, 위성 빔 중심으로부터의 거 리가 150, 200 km인 경우 발생하는 잔여 도플러 천이 최댓값은 13.11, 17.48 kHz임을 알 수 있다

Ⅳ. OFDM 기반 이동성에 강인한 고도 별 저궤도 위성 빔 크기 분석

4.1 OFDM ML estimation 방법의 한계

수식 (13)에서 n=0으로 가정할 수 있으면 [TeX:] $$|\hat{\epsilon}|<1 / 2$$ 를 만족하므로 특정한 부반송파로부터의 주파수 천이 추정 및 보상을 할 수 있다. 하지만 만약 [TeX:] $$n \neq 0$$ 인 경우, 주파수 천이의 범위가 [TeX:] $$|\hat{\epsilon}| \geq 1 / 2$$ 가 될 수 있으므로 그림 19와 같이 주파수 천이가 어 느 부반송파로부터 발생했는지에 대한 정확한 추정이 불가능하다. 이를 통해 최대 우도 추정 방법 기반 주파수 천이 추정 원리의 성능은 주파수 천이의 범위와 부반송파 간격인 SCS에 의해 결정된다. 그림 20은 수 신된 SNR이 6 dB일 때, 주파수 천이를 부반송파 간 격으로 나눈 값에 대해 최대 우도 추정 방법을 적용한 결과이다. 주파수 천이 절댓값이 부반송파 간격의 절 반 크기보다 클 경우 잘못된 주파수 천이 추정 결과가 나오는 것을 확인할 수 있다

4.2 이동성에 강인한 저궤도 위성 빔 크기

저궤도 위성 통신이 활성화되기 위해서는 5G NR 표준이 저궤도 위성 통신망에서도 적용 가능해야 하 므로, 본 논문에서는 지상 네트워크에서 사용되는 5G 무선 통신 방식을 저궤도 위성에 연결되는 지상 단말 기에 동일하게 적용한다고 가정하고 빔 크기를 결정 한다. 반송파 주파수는 이동 단말기를 고려하여 FR1 영역인 2 GHz를 사용하며, 이동 단말기의 이동성은 일반적으로 저궤도 위성 대비 매우 작으므로 본 연구 에서는 발생하지 않는다고 가정한다. 표준 파형 및 주 파수 천이 추정 및 보상 방법은 OFDM과 최대 우도 추정 방법을 사용하며, 5G NR의 특징인 OFDM numerology를 적용한다. NTN에서는 반송파 주파수 가 2 GHz일 때 15, 30 kHz의 부반송파 간격을 사용 할 수 있으므로 부반송파 간격으로는 15, 30 kHz를 고려한다[17]. 그리고 저궤도 위성과 지상 단말기 사이 의 긴 전송 거리를 고려하여 지상 단말기 빔 내부의 수신 SNR은 6 dB라고 가정한다[18]. 저궤도 위성과 지 상 단말기 간 발생하는 주파수 천이는 도플러 천이만 을 고려한다. 송수신기 오실레이터 간 동기화 오차에 의한 주파수 천이는 저궤도 위성과 지상 단말기 사이 의 도플러 천이보다 그 값이 매우 작기 때문이다.

그림 (Fig.) 20.

SNR이 6 dB일 때 실제 주파수 천이와 ML estimation으로 추정한 주파수 천이 (Real frequency offset and estimated offset based ML estimation when SNR = 6 dB)
20.png

사전 보상 시나리오 적용 시 신뢰성 있는 빔 크기 를 결정하는 기준으로 잔여 도플러 천이 최댓값과 OFDM의 부반송파 간격을 설정한다. 빔 중심으로부 터의 거리에 선형적으로 증가하는 잔여 도플러 천이 최댓값을 빔 가장자리에 위치한 지상 단말기가 추정 및 보상할 수 있으면, 하나의 저궤도 위성으로부터 빔 내부에 위치한 단말기들에 대해 발생하는 잔여 도플 러 천이를 추정 및 보상하여 신호를 정상적으로 수신 할 수 있다. 또한, 5G 하향링크에서 사용되는 CP-OFDM은 주파수 천이의 범위가 부반송파 간격의 절반보다 작을 경우 주파수 천이 추정이 가능하므로, 사전 보상 시나리오 적용 시 발생하는 잔여 도플러 천 이 최댓값과 부반송파 간격은 빔 크기를 결정하는 주 요 요소가 될 수 있다.

그림 (Fig.) 21.

반송파 주파수가 2 GHz일 때 고도 별 잔여 도플 러 천이 최댓값. (Maximum residual Doppler shifts per LEO satellite altitude When carrier frequency is 2 GHz)
21.png

그림 (Fig.) 22.

반송파 주파수가 2 GHz일 때 고도와 OFDM numerology에 따른 빔 최대 반지름 크기 (Proposed maximum beam radius according to altitude and OFDM numerology with carrier frequency of 2 GHz)
22.png

현재 SpaceX에서 운용하고 있거나 상용화될 예정 STARLINK 저궤도 위성의 궤도 경사각은 대부분 [TeX:] $$53^{\circ}$$ 이다. 이 궤도 경사각은 중위도에 위치한 지역들에 위성 통신 서비스를 하기에 적합하다. STARLINK 저 궤도 위성의 고도는 300, 350, 400, 450, 500, 550, 600 km이므로[19], 해당 고도 별 잔여 도플러 천이 최 댓값을 분석하면 그림 21과 같다. 빔 중심으로부터 빔 가장자리까지의 방향이 저궤도 위성의 이동 방향과 수평인 2개의 빔 가장자리 (edge2, 6)에서 잔여 도플 러 천이 최댓값이 가장 크므로, 해당하는 2개의 빔 가 장자리 중 잔여 도플러 천이 최댓값의 절댓값이 가장 큰 값을 빔 크기 결정 기준으로 설정한다.

그림 21의 결과를 기반으로 부반송파 간격에 따른 이동성에 강인한 빔 크기는 그림 22와 같다. 잔여 도 플러 천이 최댓값은 거리에 선형적으로 비례하므로, 부반송파 간격이 15 kHz일 때는 잔여 도플러 천이 최 댓값이 7.5 kHz가 되는 빔 가장자리의 위치가 빔 크 기를 결정한다. 30 kHz일 때는 잔여 도플러 천이 최 댓값이 15 kHz가 되는 빔 가장자리의 위치가 빔 크기 를 결정한다. 저궤도 위성의 고도가 낮을수록 저궤도 위성과 지상 단말기 사이의 상대 속도는 증가하므로 빔 크기는 감소하고, 고도가 높아질수록 빔 크기는 증 가한다. 또한, 부반송파 간격이 클수록 추정 가능한 잔여 도플러 천이 최댓값이 증가하므로 빔 크기 역시 증가한다.

Ⅴ. 결 론

본 논문에서는 5G 표준 내용과 저궤도 위성 통신 에서 구현 가능성이 큰 도플러 천이 보상 시나리오를 적용하여 이동성에 강인한 빔 크기를 제안하였다. NED 좌표계를 사용하여 도플러 천이를 계산하고, 사 전 보상 시나리오 적용 시 발생하는 잔여 도플러 천이 의 특성을 분석하였다. 잔여 도플러 천이는 빔 중심으 로부터 빔 가장자리까지의 방향이 저궤도 위성의 이 동 방향과 수평일 때 가장 크며, 빔 중심으로부터의 거리가 증가할수록 잔여 도플러 천이 최댓값은 선형 적으로 증가하였다. 5G의 CP 기반 OFDM 주파수 천 이 원리를 고려할 경우, 빔 중심으로부터의 거리에 선 형적으로 비례하는 잔여 도플러 천이 최댓값과 부반 송파 간격에 따라 빔 크기가 결정된다. 이 결정 방식 을 적용하여 저궤도 위성의 고도와 NR의 OFDM numerology에 따라 저궤도 위성의 이동성에 강인한 빔 크기를 결정할 수 있다. 이 결정 방법은 저궤도 위 성의 이동성 외에도 지연 시간, 채널 대역폭, 지역 별 로 다른 데이터 트래픽 발생 등 가변적인 통신 환경에 적합한 빔 크기를 능동적으로 설정할 수 있다.

추후에는 본 논문에서 제시한 방식과 더불어 같은 빔 내에서 지상 단말기들의 서로 다른 위치들로 인해 발생하는 저궤도 위성과 지상 단말기들 사이의 거리 차이 (differential delay)와 Randon Access, Timing Advance를 모두 고려하여 NR-based NTN에 보다 적 합한 빔 크기에 대해 연구를 수행할 예정이다.

Biography

한 상 민 (Sangmin Han)

2016년~2022년 : 아주대학교 전자공학과 졸업

2022년~현재 : 아주대학교 AI융합네트워크학과 석사과정

<관심분야> 차세대 이동통신 시스템, 위성 시스템

[ORCID:0000-0002-2291-5098]

Biography

유 영 빈 (Youngbin You)

1998년~2005년 : 연세대학교 정보산업공학전공 학사 졸업

2005년~2007년 : 연세대학교 컴퓨터과학 석사 졸업

2007년 : 삼성전자 정보통신총괄통신연구소 연구원

2008년~현재:(주)LIG넥스원 C4I연구소 수석연구원

<관심분야> MANET, 국방 전술네트워크, 군집무인기 네트워크 등

[ORCID:0000-0002-7554-2600]

Biography

이 민 (Min Lee)

2000년~2014년 : 아주대학교 전 자공학과 학/박사 졸업

2014년~현재 : (주)LIG넥스원 C4I연구소 수석연구원

<관심분야> 무선 MAC 프로토 콜, 국방 전술네트워크, 군집 무인기 네트워크 등

[ORCID:0000-0001-9202-1658]

Biography

박 형 원 (Hyung-Won Park)

1999년~2003년 : 아주대학교 정보 및 컴퓨터공학과 학사 졸업

2003년~2009년 : 아주대학교 정보통신공학과 석/박사 졸업

2009년~현재 : (주)LIG넥스원 C4I연구소 팀장

<관심분야> 전술데이터링크, 군 위성통신 시스템, 이동 통신 시스템 등

[ORCID:0000-0002-3698-0691]

Biography

신 원 재 (Wonjae Shin)

2002년~2007년 : 한국과학기술원 전자공학 학/석사 졸업

2007년~2013년 : 삼성전자 종합기술원 전문연구원

2013년~2014년 : 삼성전자 DMC연구소 책임연구원

2014년~2017년 : 서울대학교 전기정보공학부 공학박사

2017년~2018년 : Princeton 대학교 박사후연구원

2018년~2021년 : 부산대학교 전자공학과 조교수

2021년~현재 : 아주대학교 전자공학과 조/부교수

<관심분야> 차세대 이동통신 시스템, 머신러닝 및 빅데이터 신호처리

[ORCID:0000-0001-6513-1237]

Biography

김 재 현 (Jae-Hyun Kim)

1987년~1996년 : 한양대학교전산과 학사 및 석/박사 졸업

1997년~1998년 : 미국 UCLA 전기전자과 박사 후 연수

1998년~2003년 : Bell Labs, NJ, USA, 연구원

2003년~현재:아주대학교 전자공학과 교수

References

  • 1 H. Wu, "Recent advances in technology and application of internet of things," in Proc. Internet Things Conf., p. 1, 2017. Wu , H. ( 2017 ). Recent advances in technology and application of internet of things . in Proc. Internet Things Conf.p. 1 , custom:[[[ - ]]].
  • 2 I. B. F. de Almeida, L. L. Mendes, J. J. P. C. Rodrigues, and M. A. A. da Cruz, "5G waveforms for IoT applications," in IEEE Commun. Surv. & Tuts., vol. 21, no. 3, pp. 2554-2567, 2019. de Almeida , I. B. F. , Mendes , L. L. , Rodrigues , J. J. P. C. , & da Cruz , M. A. A. ( 2019 ). 5G waveforms for IoT applications . in IEEE Commun. Surv. & Tuts. , 21 ( 3 ), 2554 - 2567 , doi:[[[10.1109/comst.2019.2910817]]].
  • 3 D. Wang, D. Chen, B. Song, N. Guizani, X. Yu, and X. Du, "From IoT to 5g I-IoT: The next generation IoT-based intelligent algorithms and 5g technologies," IEEE Commun. Mag., vol. 56, pp. 114-120, 2018. Wang , D. , Chen , D. , Song , B. , Guizani , N. , Yu , X. , & Du , X. ( 2018 ). From IoT to 5g I-IoT: The next generation IoT-based intelligent algorithms and 5g technologies . IEEE Commun. Mag. , 56 , 114 - 120 , doi:[[[10.1109/mcom.2018.1701310]]].
  • 4 Y. Zhang, F. Ren, A. Wu, T. Zhang, J. Cao, and D. Zheng, "Certificateless multi-party authenticated encryption for nb-iot terminals in 5G networks," in IEEE Access, vol. 7, pp. 114721-114730, 2019. (https://doi.org/10.1109/ACCESS.2019.293612 3) Zhang , Y. , Ren , F. , Wu , A. , Zhang , T. , Cao , J. , & Zheng , D. ( 2019 ). Certificateless multi-party authenticated encryption for nb-iot terminals in 5G networks . in IEEE Access , 7 , 114721 - 114730 , doi:[[[ https://doi.org/10.1109/ACCESS.2019.2936123 ]]].
  • 5 M. Chernyshev, et al., "Internet of things (IoT): Research simulators and testbeds," IEEE Internet of Things J., vol. 5, no. 3, pp. 1637-1647, 2017. Chernyshev, et al. , M. ( 2017 ). Internet of things (IoT): Research simulators and testbeds . IEEE Internet of Things J. , 5 ( 3 ), 1637 - 1647 , doi:[[[ 10.1109/JIOT.2017.2786639 ]]].
  • 6 Y. Miao, W. Li, D. Tian, M. S. Hossain, and M. F. Alhamid, "Narrowband internet of things: Simulation and modeling," in IEEE Internet of Things J., vol. 5, no. 4, pp. 2304-2314, Aug. 2018. Miao , Y. , Li , W. , Tian , D. , Hossain , M. S. , & Alhamid , M. F. ( 2018 , Aug ). Narrowband internet of things: Simulation and modeling . in IEEE Internet of Things J. , 5 ( 4 ), 2304 - 2314 , doi:[[[10.1109/jiot.2017.2739181]]].
  • 7 W. Liu, J. Dong, and N. Liu, "NB-IoT key technology and design simulation method," Telecommun. Sci., pp. 144-148, Jul. 2016. Liu , W. , Dong , J. , & Liu , N. ( 2016 ). NB-IoT key technology and design simulation method . Telecommun. Sci.Jul , 144 - 148 , custom:[[[ - ]]].
  • 8 S. K. Jung and W. Y. Yeo, "Repetition patterns and scheduling timing for NB-IoT downlink channels," in Proc. Symp. KICS, pp. 348-349, Jun. 2018. Jung , S. K. , & Yeo , W. Y. ( 2018 ). Repetition patterns and scheduling timing for NB-IoT downlink channels . in Proc. Symp. KICSJun , 348 - 349 , custom:[[[ - ]]].
  • 9 Mathworks Inc., "HDL Code User’s Guide," https://kr.mathworks.com/help/pdf_doc/hdlcode r/hdlcoder_ug.pd Mathworks Inc., , https://kr.mathworks.com/help/pdf_doc/hdlcoder/hdlcoder_ug.pd , custom:[[[, https://kr.mathworks.com/help/pdf_doc/hdlcoder/hdlcoder_ug.pd , ]]].
  • 10 Mathworks Inc., https://kr.mathworks.com/help /supportpkg/xilinxfpgaboards/fpga-in-the-loop-s imulation.html Mathworks Inc., , https://kr.mathworks.com/help/supportpkg/xilinxfpgaboards/fpga-in-the-loop-simulation.html , custom:[[[, https://kr.mathworks.com/help/supportpkg/xilinxfpgaboards/fpga-in-the-loop-simulation.html , ]]].
  • 11 Mathworks Inc., "5G Toolbox User’s Guide," https://kr.mathworks.com/help/pdf_doc/5g/5g_u g.pdf Mathworks Inc., , https://kr.mathworks.com/help/pdf_doc/5g/5g_ug.pdf , custom:[[[, https://kr.mathworks.com/help/pdf_doc/5g/5g_ug.pdf , ]]].
  • 12 https://www.amarisoft.com/products/testmeasurements/amari-ue-simbox https://www.amarisoft.com/products/testmeasurements/amari-ue-simbox , custom:[[[, https://www.amarisoft.com/products/testmeasurements/amari-ue-simbox , ]]].
  • 13 3GPP TS 36.212, "E-UTRA Multiplexing and 2191 channel coding - Chap.6 Narrowband IoT," 2018. 212 , 3GPP TS 36. ( 2018 ). E-UTRA Multiplexing and 2191 channel coding - Chap.6 Narrowband IoT . 2018 , custom:[[[ - ]]].
  • 14 3GPP TS 36.211, "E-UTRA Physical channels and modulation- Chap.10 Narrowband IoT," 2018. 211 , 3GPP TS 36. ( 2018 ). E-UTRA Physical channels and modulation- Chap.10 Narrowband IoT . 2018 , custom:[[[ - ]]].
  • 15 M. Kanj, V. Savaux, and M. Le Guen, "A tutorial on NB-IoT physical layer design," in IEEE Commun. Surv. & Tuts., vol. 22, no. 4, pp. 2408-2446, Fourth quarter 2020. (https://doi.org/10.1109/COMST.2020.3022751) Kanj , M. , Savaux , V. , & Le Guen , M. ( 2020 ). A tutorial on NB-IoT physical layer design . in IEEE Commun. Surv. & Tuts.Fourth quarter , 22 ( 4 ), 2408 - 2446 , doi:[[[ https://doi.org/10.1109/COMST.2020.3022751 ]]].
  • 16 Xilinx Inc., https://www.xilinx.com/products/si licon-devices/soc/zynq-ultrascale-mpsoc.html Xilinx Inc., , https://www.xilinx.com/products/silicon-devices/soc/zynq-ultrascale-mpsoc.html , custom:[[[, https://www.xilinx.com/products/silicon-devices/soc/zynq-ultrascale-mpsoc.html , ]]].